 (N)

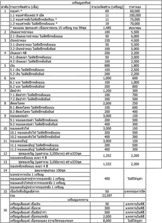
รายการเปิดจอง เหรียญรูปไข่ รุ่นอรหันต์
**รวมค่าส่งแล้ว 100 บาท**
ชุดที่ 1
เงินหน้าทอง 1 เหรียญ บูชาเหรียญละ 4500 บาท
ทองแดงรมดำ 1 เหรียญ บูชาเหรียญละ 150 บาท
ทองแดงผิวไฟ 1 เหรียญ บูชาเหรียญละ 150 บาท
ทองแดงมันปู 1 เหรียญ บูชาเหรียญละ 150 บาท
บูชาชุดละ = 5050 บาท
ชุดที่ 2
สัตตะโลหะ 4 เหรียญ บูชาเหรียญละ 250 บาท
เงินลงยา 1 เหรียญ บูชาเหรียญละ 2200 บาท
บูชาชุดละ = 3300 บาท
ชุดที่ 3
เงิน 1 เหรียญ บูชาเหรียญละ 1800 บาท
ทองแดงผิวไฟ 5 เหรียญ บูชาเหรียญละ 150 บาท
บูชาชุดละ = 2650 บาท
ชุดที่ 4
ชุดของขวัญรายการที่ 13 จำนวน 1 ชุด บูชา 2200 บาท
เงิน 1 เหรียญ บูชาเหรียญละ 1800 บาท
นวะ 2 เหรียญ บูชาเหรียญละ 600 บาท
บูชาชุดละ = 5300 บาท
ชุดที่ 5
เงินหน้าทองไม่ตัดปีกหลังแบบ 1 เหรียญ บูชาเหรียญละ 5500 บาท
อัลปาก้า บูชาเหรียญละ 300 บาท มีจำนวน 3 เหรียญ
บูชาชุดละ = 6500 บาท
สนใจปิดในกะทู้โอนเงินภายใน 1 วัน
เข้าบัญชีกสิกรไทย ออมทรัพย์ สาขาบางขุนนนท์
เลขที่ 7532323635
สราวุฒิ สังข์ขาว
โทร.0863156905 |