 (N)

มีรายการดังนี้ครับ
ชุดที่ 1 ประกอบด้วยรายการดังนี้ครับ
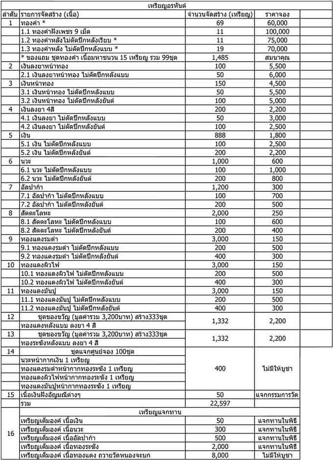
เงินลงยาหน้าทอง 1 = 5,500 บาท
นวะ 1= 600 บาท
อัลปาก้า 1 = 300 บาท
สัตตะโลหะ 1 = 250 บาท
รับพระ 4 เหรียญ ราคา 6,650 บาท
..........................
ชุดที่ 2 ประกอบด้วยรายการดังนี้
เงินลงยา 1 = 2,200 บาท
นวะ 1 = 600 บาท
อัลปาก้า 1 = 300 บาท
สัตตะโลหะ 1= 250 บาท
รับพระ 4 เหรียญ ราคา 3,350 บาท
.........................
ชุดที่ 3 มียอด 2 ชุด ประกอบด้วยรายการดังนี้
เงิน 1 = 1,800 บาท
นวะ 1 = 600 บาท
อัลปาก้า 1 = 300 บาท
สัตตะโลหะ 1 = 250 บาท
รับพระ 4 เหรียญ ชุดละ 2,950 บาท
.........................
โอนเงินภายใน 1 วัน หลังจากทำการครับ
เช็คความพร้อมก่อนจองนะครับจะได้ไม่เสียเวลาทั้งกัน 2 ฝ่าย |