 (N)

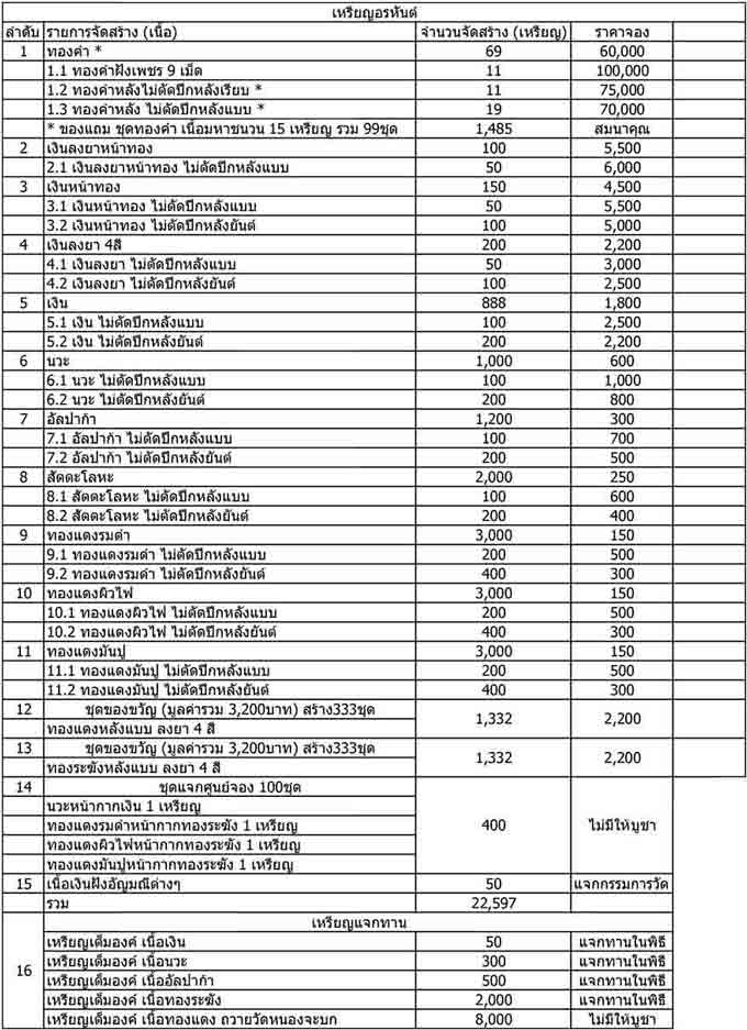
เปิดจอง << สร้างบารมี 91 หลวงพ่อคูณ วัดบ้านไร่ ราคาวัด + ค่าส่ง ครับ >>
จัดเป็นชุดดังนี้ครับ
ชุดที่1. ชุดละ 3,250.-
เหรียญ เนื้อเงิน 1 เหรียญ
เหรียญ เนื้อสัตตะ 3 เหรียญ
เหรียญ เนื้อสัตตะ หลังแบบ 1 เหรียญ
ชุดที่2. ชุดละ 3,800.-
เหรียญ เนื้อเงินลงยา 1 เหรียญ
เหรียญ เนื้อนวะไม่ตัดปีก หลังแบบ 1 เหรียญ
เหรียญ เนื้อสัตตะ 2 เหรียญ
ชุดที่3. ชุดละ 2,700.-
รูปเหมือนปั๊ม เนื้อ เงิน 1 องค์
รูปเหมือนปั๊ม เนื้อ อัลปาก้า 1 องค์
ชุดที่4. ชุดละ 1,150.-
รูปเหมือนปั๊ม เนื้อ นวะ 1 องค์
รูปเหมือนปั๊ม เนื้อ ระฆัง 1 องค์
ทุกรายการ รวมค่าจัดส่งแล้ว / มาก่อนมีสิทธิจองก่อนครับ
****ตรวจสอบความพร้อมก่อนทำการตัดสินใจจองนะครับ เพื่อเป็นการไม่ให้ผู้อื่นเสียโอกาส***
โอนภายใน 1 วันครับ |