 (N)

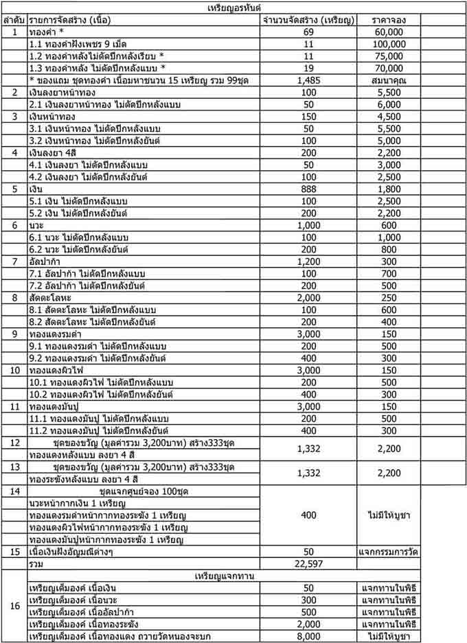
ราคาจองทุกรายการ มียอดมาเปิดจองตามนี้
เช็ครายการที่ลงกับลำดับในตารางใบจองให้ดีนะครับ จะได้ไม่สับสนรายการ
***** รายการจัดชุด *****
ชุด ก.
3.เงินหน้าทอง 1 เหรียญ
5.เนื้อเงิน 1 เหรียญ
(รวมรับ 2 เหรียญ) ..... ชุดละ 6,300 บ. ..... มี 1 ชุด
ชุด ข.
4.1 เงินลงยา ไม่ตัดปีก หลังแบบ 1 เหรียญ
5.เนื้อเงิน 1 เหรียญ
6.นวะโลหะ 1 เหรียญ
7.อัลปาก้า 1 เหรียญ
8.สัตตะโลหะ 2 เหรียญ
(รวมรับ 6 เหรียญ) ..... ชุดละ 6,200 บ. ..... มี 1 ชุด
ชุด ค.
6.นวะโลหะ 2 เหรียญ
6.2 นวะโลหะ ไม่ตัดปีก หลังยันต์ 1 เหรียญ
(รวมรับ 3 เหรียญ) ..... ชุดละ 2,000 บ. ..... มี 1 ชุด
ชุด ง.
7.อัลปาก้า 4 เหรียญ
7.2 อัลปาก้า ไม่ตัดปีก หลังยันต์ 1 เหรียญ
(รวมรับ 5 เหรียญ) ..... ชุดละ 1,700 บ. ..... มี 1 ชุด
ชุด จ.
8.สัตตะโลหะ 4 เหรียญ
8.2 สัตตะโลหะ ไม่ตัดปีก หลังยันต์ 1 เหรียญ
(รวมรับ 5 เหรียญ) ..... ชุดละ 1,400 บ. ..... มี 1 ชุด
ฉ.1
9.ทองแดงรมดำ 5 เหรียญ
9.1 ทองแดงรมดำ ไม่ตัดปีก หลังแบบ 1 เหรียญ
(รวมรับ 6 เหรียญ) ..... ชุดละ 1,250 บ. ..... มี 1 ชุด
ฉ.2
10.ทองแดงผิวไฟ 5 เหรียญ
10.1 ทองแดงผิวไฟ ไม่ตัดปีก หลังแบบ 1 เหรียญ
(รวมรับ 6 เหรียญ) ..... ชุดละ 1,250 บ. ..... มี 1 ชุด
ฉ.3
11.ทองแดงมันปู 5 เหรียญ
11.1 ทองแดงมันปู ไม่ตัดปีก หลังแบบ 1 เหรียญ
(รวมรับ 6 เหรียญ) ..... ชุดละ 1,250 บ. ..... มี 1 ชุด
ช.1
9.ทองแดงรมดำ 4 เหรียญ
9.2 ทองแดงรมดำ ไม่ตัดปีก หลังยันต์ 1 เหรียญ
(รวมรับ 5 เหรียญ) ..... ชุดละ 900 บ. ..... มี 2 ชุด
ช.2
10.ทองแดงผิวไฟ 4 เหรียญ
10.2 ทองแดงผิวไฟ ไม่ตัดปีก หลังยันต์ 1 เหรียญ
(รวมรับ 5 เหรียญ) ..... ชุดละ 900 บ. ..... มี 2 ชุด
ช.3
11.ทองแดงมันปู 4 เหรียญ
11.2 ทองแดงมันปู ไม่ตัดปีก หลังยันต์ 1 เหรียญ
(รวมรับ 5 เหรียญ) ..... ชุดละ 900 บ. ..... มี 2 ชุด
*********************
***** รายการย่อย *****
5.เนื้อเงิน ..... 1,800 บ. มี ..... 1 เหรียญ
6.นวะโลหะ ..... 600 บ. มี ..... 2 เหรียญ
8.สัตตะโลหะ ... 250 บ. มี ..... 4 เหรียญ
********************
** ค่าจัดส่ง EMS ท่านละ 100 บ.
** สอบถามรายละเอียดเพิ่มเติมได้ที่ 080-5183888 , 080-0969036 (เจมส์) ยินดีให้บริการครับ
** สมาชิกเว็บ G-Pra รบกวนโอนเงินไม่เกิน 2 วัน หลังโพสต์จอง บุคคลนอกเว็บสามารถโทรมาสั่งจองได้ครับ โอนเงินไม่เกิน 1 วันหลังทำการจอง
** บัญชีธนาคารตามรูปด้านล่าง โอนเงินเสร็จรบกวนแจ้งหลักฐานการโอนและที่อยู่ในกระทู้นี้ได้เลยครับ
** ท่านที่ไม่สะดวกโพสต์สลิปการโอนเงิน แจ้งเป็น (ธนาคารที่โอน : วันเวลาที่โอน : ยอดโอน) แทนได้ครับผม |