 (N)

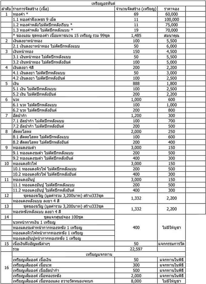
1.เนื้อเงินลงยาหน้าทองคำมียอด 1 เหรียญๆละ 5,500 บาท
2.เนื้อเงินลงยามียอด 1 เหรียญๆละ 2,200 บาท
3.เนื้อเงินมียอด 2 เหรียญๆละ 1,800 บาท
4.เนื้อนวะมียอด 3 เหรียญๆละ 600 บาท
5.เนื้ออัลปาก้ามียอด 5 เหรียญๆละ 300 บาท
6.เนื้อสัตะโลหะมียอด 4 เหรียญๆละ 250 บาท
.....ค่าจัดส่ง 100 บาทครับ.....
โอนเงินภายใน 1 วันหลังจากทำการจองนะครับ
เช็คความพร้อมก่อนจองนะครับจะได้ไม่เสียเวลากันทั้ง 2 ฝ่าย
ขอบคุณมากครับ |