 (N)

มีรายการดังนี้
ชุดที่ 1 รับพระ 5 เหรียญ
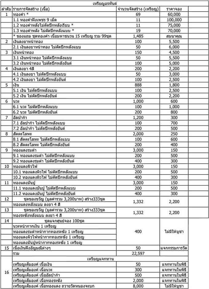
เนื้อเงิน 1 เหรียญ = 1,800 บาท
เนื้อนวะ 1 เหรียญ = 600 บาท
เนื้อนวะไม่ตัดปีกหลังยันต์ 1 เหรียญ = 800 บาท
อัลปาก้า 2 เหรียญ = 600 บาท
สัตตะโลหะ 1 เหรียญ = 250 บาท
...รวมราคา 4,050 + ค่าจัดส่ง 100 = 4,150 บาท...
ชุดที่ 2 รับพระ 4 เหรียญ
เนื้อเงิน 1 เหรียญ = 1,800 บาท
เนื้อนวะ 1 เหรียญ = 600 บาท
อัลปาก้าไม่ตัดปีกหลังยันต์ 1 เหรียญ = 500 บาท
อัลปาก้า 1 เหรียญ = 300 บาท
สัตตะโลหะ 1 เหรียญ = 250 บาท
...รวมราคา 3,450 + ค่าจัดส่ง 100 = 3,550 บาท...
ชุดที่ 3 รับพระ 7 เหรียญ
เนื้อเงินไม่ตัดปีกหลังแบบ 1 เหรียญ = 2,500 บาท
เนื้อนวะ 2 เหรียญ = 600 บาท
เนื้ออัลปาก้า 2 เหรียญ = 300 บาท
สัตตะโลหะ 2 เหรียญ = 250 บาท
...ราคา 4,800 + ค่าจัดส่ง 100 = 4,900 บาท...
โอนเงินภายใน 1 วันหลังจากทำการจองนะครับ
พิจาราณาก่อนนะจะได้ไม่เสียเวลากันทั้ง 2 ฝ่าย
.....ขอบคุณมากๆครับ..... |