 (N)

!!! หลวงพ่อคูณ เหรียญอรหันต์ สร้างบารมี 91 !!!
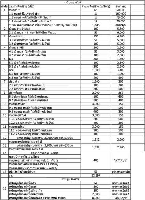
3. เงินหน้าทอง มี 1 เหรียญๆละ 5000
4. เงินลงยา มี 1 เหรียญๆละ 2500
5. เงิน มี 2 เหรียญๆละ 2000
6. นวะ มี 4 เหรียญๆละ 700
7. อัลปาก้า มี 5 เหรียญๆละ 400
8. สัตตะโลหะ มี 7 เหรียญๆละ 350
12. ชุดของขวัญทองแดงลงยา มี 1 ชุดๆละ 3500
13. ชุดของขวัญทองละฆังลงยา มี 1 ชุดๆละ 3500
" ค่าจัดส่งครั้งละ 100 ครับ "
!!! หรือรับพระที่ร้านซุ่มโคราช !!! อิมพีเรียลสำโรง ชั้น 4 ครับ
โอนภายใน 1 วันครับผม
""" ยินดีรับบัตรเครดิตที่ร้านซุ่มโคราช """ """ ยินดีรับบัตรเครดิตที่ร้านซุ่มโคราช """
:::เกิน 1 วัน หลังจากนั้นถือว่าสละสิทธิ์การจอง:::
ชื่อบัญชีธนาคาร : ร้านซุ่มโคราช โดย นายกันต์ธีร์ ขันติวิริยาคม ประเภทบัญชีออมทรัพย์ หมายเลขบัญชี 664-2-15069-1 ธนาคารกสิกรไทย สาขาเซ็นทรัล บางนา 2
ชื่อบัญชีธนาคาร : ร้านซุ่มโคราช โดย นายกันต์ธีร์ ขันติวิริยาคม ประเภทบัญชีออมทรัพย์ หมายเลขบัญชี 332-278654-2 ธนาคารไทยพาณิชย์ สาขาอิมพีเรียลเวิลด์ (สำโรง)
สอบถามเพิ่มเติม โทรศัพท์ 083-368-0880 |