 (N)

มาเป็นชุดครับ เปิดจอง!! เหรียญ "อรหันต์สร้างบารมี ๙๑" หลวงพ่อคูณ ปริสุทฺโธ รายการพิเศษเพียบ
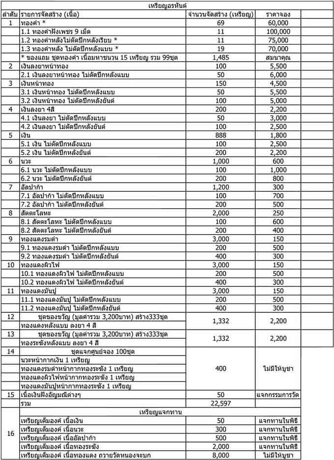
มียอดมาเปิดจองตามนี้
เช็ครายการที่ลงกับลำดับในตารางใบจองให้ดีนะครับ จะได้ไม่สับสนรายการ
***** รายการจัดชุด *****
มีอีก 5 ชุดที่ยังไม่มีคนจองครับ ช้าหมดอดของดีนะครับ
ช.7
5.เงิน 1 เหรียญ // 11. ทองแดงมันปู 5 เหรียญ //ปั้มทองแดงผิวไฟ 2 องค์ มี...4...ชุด (รวม 8 องค์ ราคา 3350 บาท)
ช.8
6.นวะ 4 เหรียญ // 6.2 นวะไม่ตัดปีกหลังยันต์ 1 เหรียญ มี...2... ชุด (รวม 5 องค์ ราคา 3400 บาท)
ช.9
6.นวะ 2 เหรียญ // 7.อัลปาก้า 3 เหรียญ ปั้มทองแดงผิวไฟ 4 องค์ มี...1... ชุด (รวม 5 องค์ ราคา 3700 บาท)
ช.10
7.อัลปาก้า 3 เหรียญ // 8.สัตตะโลหะ 4 เหรียญ // ปั้มทองแดงผิวไฟ 2 องค์ มี...4...ชุด (รวม 9 องค์ ราคา 2700 บาท) |