 (N)

ยอดคงเหลือ
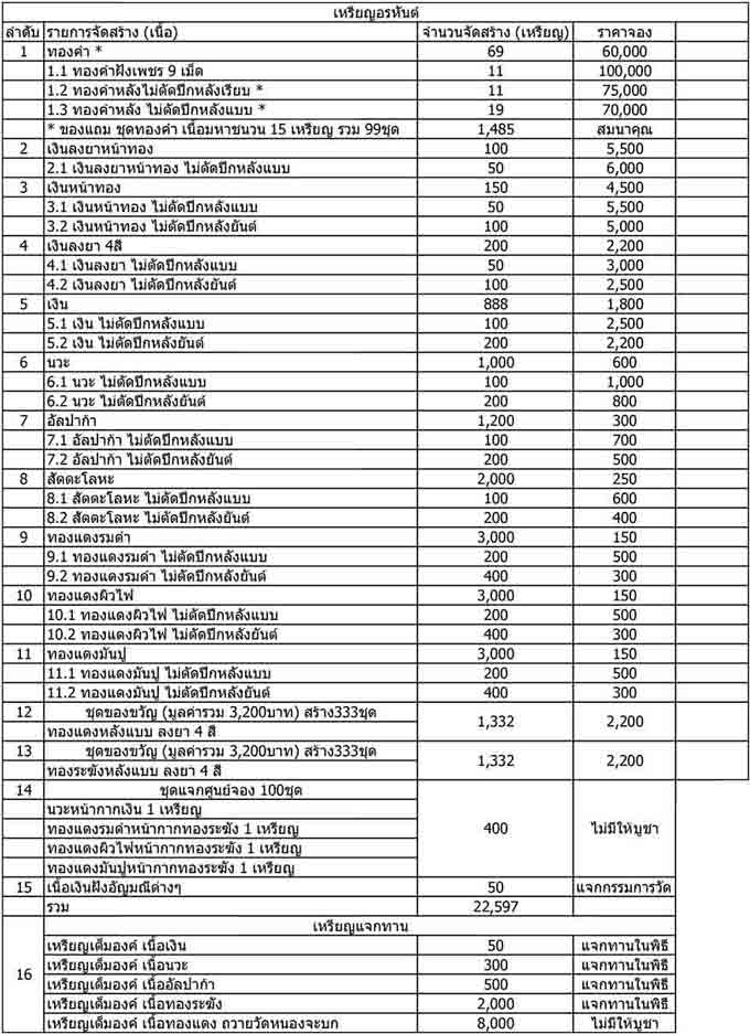
1.เนื้อเงิน จำนวน 3 เหรียญ ราคาเหรียญละ 1800 บาท
ค่าจัดส่งครั้งละ 100 บาท
++++++++++++++++++++++++++++++
ชุดเหรียญพิเศษครับ
ชุดที่ 1 ประกอบด้วย
1.ทองแดงรมดำไม่ตัดปีกหลังแบบ 1 เหรียญ
2.เนื้อทองแดงรมดำ 5 เหรียญ
มี 1 ชุด ชุดละ 1350 บาท
ชุดที่ 2 ประกอบด้วย
1.ทองแดงรมมันปูไม่ตัดปีกหลังแบบ 1 เหรียญ
2.เนื้อทองแดงรมมันปู 5 เหรียญ
มี 1 ชุด ชุดละ 1350 บาท
+++++++++++++++++++++++++++++++++
รายละเอียดการโอนเงิน
นายกิตติภัฎ เรืองรอง
ธนาคารกรุงไทย
031-0-18699-4
ออมทรัพย์
ขอบพระคุณครับ |