 (N)

สำหรับพี่ๆที่อยากได้เลขสวยๆ พรุ่งนี้ 10.30 น. มีนัดกันครับ
โดยจะมีเปิดจองล่วงหน้า หลวงปู่ทวด รุ่น "อภิมงคล" เริ่มเปิดจอง วันศุกร์ เวลา 10.30 น. ตามเวลา Server
โดยพี่ๆที่จองเป็นคนแรก... ได้เบอร์ 1... จองคนที่ 9.. ได้เบอร์ 9..... คนที่ 11.. ได้เบอร์11 ตามลำดับ
เปิดจองทั้งหมด 100 เหรียญ เลข 1-100...... ในเว็บการันตีพระ 50 เหรียญ (เลขคี่) เวลา 10.30 น. และ เว็บเพื่อนบ้าน 50 เหรียญ (เลขคู่) เวลา 21.30 น. วันเดียวกัน........ ขอให้โชคดีครีบ
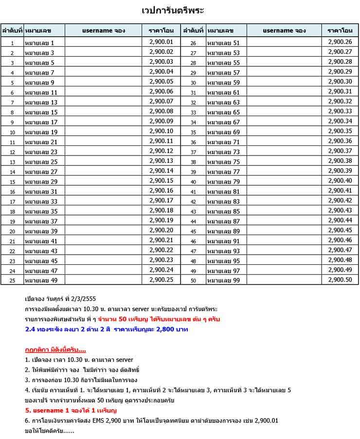
ผมขอประชาสัมพันธ์ สำหรับเวปการันตรีพระ
เปิดจองที่กระดานจองพระเครื่องสร้างใหม่ สำหรับเนื้อพิเศษ ก่อนนะครับ
โดยจะเปิดจองล่วงหน้าให้พี่ๆสมาชิกผ่านทางเว็ปไซต์ก่อน
ประมาณวันที่ 2 มีนาคม พ.ศ. 2555
โดยจะมีเนื้อพิเศษเปิดจองที่เวปแห่งนี้ หมดแล้ว หมดเลย จำนวนสร้างน้อยประมาณ 299 องค์
เท่านั้นไม่พอใครที่เคยบ่น อยากได้เลขสวย ผู้สร้างเก็บไว้เอง ศูนย์จองกั๊กเลขสวย ไม่เคยได้เลขสวย งานนี้ได้ลุ้นกันทุกคนครับ
แล้วแต่ใครดวงดี เช่นเลข 1-9 ,11,22,33,44,55,66,77,88,99,111,...เป็นต้น
เปิดจอง วันศุกร์ ที่ 2/3/2555
การจองมีผลตั้งแต่เวลา 10.30 น. ตามเวลา server นะครับของเวป การันตรีพระ
รายการจองพิเศษสำหรับ พี่ ๆ จำนวน 50 เหรียญ ได้รับหมายเลข ต้น ๆ ครับ
รายการที่เปิดเพื่อให้พี่ ๆ ได้ลุ้นกันครับ คือ รายการ
2.4 ทองระฆัง ลงยา 2 ด้าน 2 สี จำนวนสร้างน้อยมาก 299 เหรียญ ราคาเหรียญละ 2,800 บาท
กฏกติกา มีดังนี้ครับ....
1. เปิดจอง เวลา 10.30 น. ตามเวลา server
2. ให้พิมพ์มีคำว่า จอง ไม่มีคำว่า จอง ตัดสิทธิ์
3. การจองก่อน 10.30 ถือว่าไม่มีผลในการจอง
4. เริ่มนับ ความเห็นที่ 1. จะได้หมายเลข 1, ความเห็นที่ 2 จะได้หมายเลข 3, ความเห็นที่ 3 จะได้หมายเลข 5
ของเวปจี จากจำนวนทั้งหมด 50 เหรียญ ดูตารางประกอบครับ
5. username 1 จองได้ 1 เหรียญ
6. การโอนเงินรวมค่าจัดส่ง EMS 2,900 บาท ให้โอนเป็นจุดทศนิยม ตามำดับของการจอง เช่น 2,900.01
ขอให้โชคดีครับ......
ผู้ดำเนินการเปิดจอง ชานนท์ (nkkrala)
ส่วนรายการอื่น ๆ จะมี พี่ ๆ มาเปิดจองอีกครั้ง โดยจะแจ้งให้ทราบต่อไปครับ |